DAFTAR ISI
1.1 Tujuan [Kembali]
- Dapat memahami materi op-amp basics.
- Dapat memahami rangkaian op-amp basics.
- Dapat mensimulasikan rangkaian op-amp basics.
1.2 Komponen [Kembali]
- Dinamo
Dinamo merupakan sebuah mesin listrik yang dapat mengubah energi kinetik menjadi energi listrik.
Dinamo digunakan sebagai sumber AC. - Resistor
Resistor merupakan salah satu komponen yang digunakan dalam sebuah sirkuit atau rangkaian elektronik. Resistor berfungsi sebagai resistansi/ hambatan yang mampu mengatur atau mengendalikan tegangan dan arus listrik rangkaian.
- Osiloskop
Osiloskop adalah alat ukur elektronik yang dapat memetakan atau memproyeksikan sinyal listrik dan frekuensi menjadi gambar grafik agar dapat dibaca dan mudah dipelajari. - Op-Amp
Operasional amplifier atau yang lebih sering disebut op amp merupakan suatu komponen elektronika analog yang berfungsi sebagai penguat atau amplifier multiguna yang diwujudkan dalam sebuah IC op amp.
-
Penguat operasional adalah penguat yang sangat tinggi yang memiliki impedansi masukan sangat tinggi (biasanya beberapa megohms) dan impedansi keluaran rendah (kurang dari 100Ω). Rangkaian dasar dibuat menggunakan penguat berbeda yang memiliki dua input (positif dan negatif) dan setidaknya satu output. Seperti dibahas sebelumnya, input positif (+) menghasilkan output fase yang sama dengan sinyal yang diterapkan, sedangkan input ke input negatif (-) menghasilkan polaritas output yang berlawanan. Tegangan output ditampilkan sebagai penguatan gain dikalikan dengan sinyal input yang diambil melalui impedansi output, Ro, yang biasanya sangat rendah. Rangkaian op-amp yang ideal akan memiliki nilai impedansi input tak hingga, nilai impedansi keluaran nol, dan nilai penguat tegangan tak hingga.
Op-Amp Dasar
Rangkaian yang ditunjukkan menggunakan operasi sebagai constant-gain multiplier. Sinyal input, V1, diterapkan melalui resistor R1 ke input negatif. Output kemudian dihubungkan kembali ke input negatif yang sama melalui resistor Rf. Input positif terhubung ke ground. Karena sinyal V1 diaplikasikan pada input negatif, output yang dihasilkan berlawanan secara bertahap dengan sinyal input.
Gambar 14.13a menunjukkan op-amp diganti dengan rangkaian ekivalen AC-nya. Jika kita menggunakan rangkaian ekivalen op-amp yang ideal, maka rangkaian ekivalen AC tersebut ditunjukkan pada Gambar 14.13b. Rangkaian kemudian digambar ulang, seperti yang ditunjukkan pada Gambar 14.13c.
Dengan menggunakan superposisi, kita dapat menyelesaikan V1 dalam hal komponen yang disebabkan oleh masing-masing sumber. Sumber hanya V1(-AvVi diatur ke nol).
Sumber hanya -AvVi (V1 diatur ke nol).
Maka total Vi adalah
Yang dapat diselesaikan untuk Vi menjadi
Jika Av >> 1 dan AvR1 >> Rf, maka
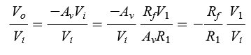
Dengan menyelesaikan Vo/Vi, kita dapatkan
Jadi,
Hasil, pada persamaan. (14.8), menunjukkan bahwa perbandingan output keseluruhan dengan tegangan input hanya bergantung pada nilai resistor R1 dan Rf — membuktikan bahwa Av sangat besar.
Unity Gain
Jika Rf = R1, penguatannya adalah
Jika Rf persis sama dengan R1, maka penguatan tegangannya sama dengan 1.
Constant Magnitude Gain (Penguatan Magnitudo Konstan)
Jika Rf adalah kelipatan dari R1, penguatan amplifier keseluruhan bernilai konstan. Misalnya, jika Rf = 10R1, maka
dan rangkaian memberikan penguatan tegangan bernilai 10 dengan inversi fase 180° dari sinyal input. Jika kita memilih nilai resistor yang tepat untuk Rf dan R1, kita dapat memperoleh berbagai macam penguatan, penguatannya menjadi seakurat resistor yang digunakan dan hanya sedikit dipengaruhi oleh suhu dan faktor rangkaian lainnya.
Virtual Ground
Tegangan keluaran dibatasi oleh tegangan suplai, biasanya, beberapa volt. Seperti yang dinyatakan sebelumnya, penguatan tegangan sangat tinggi. Jika misalnya, Vo = -10 V dan Av = 20.000, maka tegangan input akan menjadi
Konsep virtual short menyiratkan bahwa meskipun tegangan hampir 0 V, tidak ada arus melalui input penguat ke ground. Gambar 14.14 menggambarkan konsep ground virtual. Garis tebal digunakan untuk menunjukkan bahwa kita dapat mempertimbangkan bahwa ada hubung singkat dengan Vi ≈ 0 V, tetapi karena ini adalah hubung singkat virtual, sehingga tidak ada arus melewati hubung singkat ke tanah. Arus hanya melalui resistor R1 dan Rf seperti yang ditunjukkan pada gambar.
Dengan menggunakan konsep virtual ground, kita dapat menulis persamaan untuk I saat ini sebagai berikut:
Yang dapat diselesaikan untuk Vo/V1:
Konsep virtual ground, yang tergantung pada Av yang sangat besar, memungkinkan solusi sederhana untuk menentukan penguatan tegangan keseluruhan. Meskipun rangkaian Gambar 14.14 secara fisik tidak benar, hal ini memungkinkan cara yang mudah untuk menentukan kenaikan tegangan keseluruhan.
-
Prinsip kerja sebuah operasional Amplifier (Op-Amp) adalah membandingkan nilai kedua input (input inverting dan input non-inverting), apabila kedua input bernilai sama maka output Op-amp tidak ada (nol) dan apabila terdapat perbedaan nilai input keduanya maka output Op-amp akan memberikan tegangan output.
2.1 Gambar [Kembali]
(a)
(b)
(c)
(d)
2.2 Video [Kembali]
3. Download [Kembali]
]
- HTML [DISINI]
- Rangkaian a [ DISINI ]
- Rangkaian b [ DISINI ]
- Rangkaian c [ DISINI ]
- Rangkaian d [ DISINI ]
- Video a [ DISINI ]
- Video b [ DISINI ]
- Video c [ DISINI ]
- Video d [ DISINI ]
- Datasheet [ DISINI ]
4. Kumpulan Soal
1. Jika rangkaian Gambar (14.15) memiliki R1 = 100 kΩ dan Rf = 500 kΩ, berapakah hasil tegangan keluaran untuk masukan V1 = 2 V?
2. Hitung tegangan keluaran penguat noninverting (seperti pada Gambar 14.16) untuk nilai V1 = 2 V, Rf = 500 kΩ, dan R1 = 100 kΩ
Soal Pilihan Ganda
1. Diketahui rangkaian Op-amp sebagai gambar di bawah ini, jika tegangan catunya +15v dan -15V, sedang RF = 470 kΩ, R1 = 4 kΩ, R2 = R3 = 33 kΩ dan Vin = 8 mV. Berapa kakulasi output Op-amp (vo)?
a. 180 v d. 166.7 v
b. 177.6 v e. 175.0 v
c. 156.7 v
2. Sebuah rangkaian Op-amp seperti gambar di bawah memiliki nilai-nilai yaitu : tahanan eed back = 330 Kohm, tahanan input = 1 KOhm dan tegangan input = 17 mV. Hitung berapa perolehan tegangan (Av), tegangan output (Vout) dan tegangan catu daya (Vcc) pada rangkaian tersebut ?
a. Av = -330, Vout = -5,61V, Vcc = +8
b. Av = -220, Vout = -6,61V, Vcc = +6
c. Av = -530, Vout = -7,61V, Vcc = +4
d. Av = -420, Vout = -4,51V, Vcc = +3
e. Av = -55, Vout = -75,61V, Vcc = +2






























Tidak ada komentar:
Posting Komentar